Bench top ball mill
El Molino de bolas o molino Alsing, es una herramienta o máquina donde se realiza la molienda, usando unos cuerpos trituradores que se introducen, bolas de alúmina o cantos rodados de cuarzo, para reducir la materia al tamaño deseado, adecuando las característica necesarias a los esmaltes y pastas, así como, homogeneizando las mezclas.
Tipos de molienda[]
Bolas en el interior del molino. Se considera los cuerpos trituradores.
La molienda sobreviene por dos causas;
- por percusión, las esferas al rotar se despegan y caen sobre el material.
- por rozamiento entre las bolas. Con pequeña carga es mayor el efecto de la percusión y el rozamiento para una carga completa, así, para materiales duros es conveniente que prevalezca la percusión y para materiales friables el de abrasión.
Por razón de eficacia la molienda en semiseco no suele ser exhaustiva, es decir, no se sostiene hasta que la totalidad de los granos estén en el tamaño deseado, lo que requeriría un tiempo exagerado, sino que se dejan salir los materiales a moler tras cierto grado de fragmentación, se clasifican los granos, y lo gruesos continúan a la molienda.
La molienda húmeda con la adición del 10 % del peso total del material a moler de alcohol isopropílico, se recomienda usar este vehiculo, por que se evapora muy fácil no dejando residuo alguno.[1]
Equilibrio en las mezclas[]
Lead antimony grinding media with aluminum powder.
- Siempre deberemos tener en cuenta la cantidad de arenas gruesas "neutros", y la de plásticos que conforman nuestro esmalte. Esto es así porque si tomamos por ejemplo los esmaltes comerciales de baja temperatura estos son mezclas típicas de un alto porcentaje de frita y solo una pequeña proporción de caolín, o bentonita como suspensores (10%/90%) ahora bien, en estos esmaltes lo mas critico siempre sera la molienda. Para ejemplificar se comportan de manera completamente diferente si son molidos de manera tradicional en húmedo y luego secados y pulverizados... a + /- 2% de retenido a 300 mesh (cosa que pocos hacen actualmente). Actualmente se utiliza mucho la molienda en seco y a +/- 2% de retenido a malla 200 mesh... que aunque mucho mas económico, resulta algo completamente diferente, sobre todo para todos los alfareros de nueva generación, que solo hacen preparaciones por mezcla—y sin molino.....lo que ocurre es que el fabricante le esta transfiriendo el alto costo de molienda óptima... bajo el supuesto que el va hacer agregados de molino y completar el trabajo de molienda (220 a---300) (35% de la energía necesaria). El vinagre, (ácido acético al 5%), el limón (Ácido cítrico) y en general, los Ácidos llamados débiles y alguna sales ácidas ejem: ( Cloruro de calcio, sulfato de Magnesio = sal de epsom ) evitan el asentamiento de las arenas y cuando esto ocurre el asentamiento es suave y puede removerse fácilmente. La frontera que ronda las 300 mersh nos permite un comportamiento "semiplástico" de las arenas que llamamos " eje neutro" CUIDADO CON IR DEMASIADO LEJOS por ejemplo 350... 0 380 mesh.---- porque entonces los problemas de engorrillamiento, agrietado y separación en capas del esmalte ocurren.!
- Cuando nuestros esmaltes contienen un porcentaje alto de plásticos naturales llámese, arcilla, caolín, barros,o bentonita (caso común en los esmaltes de alta temperatura) el eje NEUTRO se mueve hacia atrás de (300 hacia los 220 mesh) pero aun en esos casos nunca deberemos rebasar la relación de arenas plásticos de una barbotina.... (60% arenas 40% plásticos) si notan poco e mencionado los "neutros" como el oxido de zinc, la magnesia, o el carbl de calcio precipitado (tan diferente en comportamiento del natural ) todos ellos nos permitirán "balancear" nuestra "receta de cocina" a fin de que el comportamiento físico sea el ideal.[2] Molienda fina. Se hace, generalmente, en molino de bolas, con un error de molienda estándar del 3%.
Factores que influyen en la molienda[]
High-energy ball milling
- Velocidad de rotación (revoluciones por minuto, r.p.m.). De acuerdo a ésta, se determina el tamaño (diámetro interior) de la jarra. Si los materiales para moler son muy viscosos, requiere una máquina que tenga control de velocidad, pero no es estable; entonces para controlar el problema se le pone la mitad de los materiales que habitualmente se usa con mas agua. Este problema se presenta en caolines y arcillas. La velocidad crítica es en la que la fuerza centrífuga está actuando, de forma que impide la molienda al “pegar” los materiales y las bolas a las paredes de la jarra sin caer.
- Cantidad de bolas. Suelen ser de alúmina, sílice e incluso metálicas. Las bolas deben ocupar de 30 [3]~ 55% [4] del volumen interior de la jarra.Se puede manejar por peso una vez establecido el volumen, pero se deben mantener constantes el tamaño y peso de la bola o el volumen se altera. El desgaste influye enormemente en el cambio de volumen, se debe vigilar el desgaste para ir nivelando el contenido de bolas, agregando nuevas y eliminando las chiquitas. El tamaño del molino se determina según la capacidad del horno, no olvidar que el 10% del peso de las piezas corresponde a esmalte; con esto se determina la cantidad de esmalte a preparar, el tamaño de las jarras, el numero de moliendas y la capacidad de la máquina.
- Tamaño y forma de las bolas. Hay dos factores a tomar en cuenta: la superficie de contacto con que se muele, las bolas chiquitas, en este sentido son mejores, y el movimiento, que es de dos formas; uno en que las bolas giran entre sí, patinando, y otro en que las bolas “chocan” separándose entre sí, en este punto las bolas grandes son mejores. Se debe encontrar un equilibrio entre ambos factores. Se pueden usar cantos rodados de pedernal (flint), antes de usarse se calcinan para eliminar impurezas orgánicas. El pedernal casi es al 100% sílice, a ello se debe su alta dureza. Las bolas de pasta pueden ser de porcelana, porcelana de alta alúmina, porcelana de circonia, pero con esta última hay que tomar en cuenta que las bolas se desgastan más rápido, hay esmaltes y pastas que son muy sensibles al circón, recuérdese que el circón funciona como opacificante. Densidad de las bolas de cuarzo 2.6. Para moler más fino se requieren bolas más chiquitas. Es necesario revisar las bolas periódicamente, cuando tengan un muy alto desgaste se eliminan porque las bolas nuevas las muelen alterando la composición de la molienda. En el caso anterior cuando las bolas bajan de 1.5 a 1 cm se retiran; las bolas de éste diámetro son ideales para jarras pequeñas que se usan para pintura.Una vez decidida la forma de trabajo para la molienda, ésta no se debe cambiar porque se obtendrían resultados diferentes en cada molienda.
- Cantidad de materiales. La cantidad de materiales y agua siempre tiene relación porque determina la viscosidad, la viscosidad controla el movimiento de las bolas. Si es poca agua, las bolas casi no se mueven, en el caso de haber exceso de agua, las bolas brincan y rebotan en el fondo y paredes de las jarras desgastándose prematuramente. El sonido producido por las bolas deber ser constante, si no hay sonido, no hay molienda; si el sonido es agudo y fuerte, se están desgastando excesivamente las bolas y el forro de la jarra; para esto hay que entrenar el oído, el ruido es bajo al principio, pero aumenta conforme la molienda avanza. Teóricamente la cantidad ideal de materiales debe llenar los espacios entre las bolas y cubrirse ligeramente con agua. Hay gran diferencia entre el trabajo teórico y el práctico; a veces en la práctica se carga más o menos una cantidad, como regla, se pude aplicar la siguiente fórmula: cantidad de bolas (en peso) x 1 ~ 1.8 = materiales. Pero cuidado, si se aumenta ligeramente la cantidad de materiales, el tiempo de molienda cambia; la cantidad de materiales y el tiempo de molienda no están proporcionalmente relacionados. No es válido que, por ejemplo, si tres kilos de esmalte se muelan en cuatro horas, entonces seis kilos se pueden moler en ocho horas; para saber en cuánto tiempo se muele esa cantidad se debe probar.
- Cantidad de agua (en caso de molienda húmeda). Cantidad de agua. Según el contenido de los materiales, la cantidad de agua varía, así, por ejemplo, en el caso del caolín, se debe agregar un poco más de agua debido a su viscosidad. Incluso se puede aplicar la siguiente regla: peso de materiales x 1~1.3 = agua. La densidad ideal para un esmalte transparente es de 45 ~ 50° [5] Bè, y para un mate aluminoso 40 ~ 45°Bè; todos los datos anteriores son como patrones para esmaltes; en el caso de pastas y engobes se deben cambiar todos los datos a ½ o 1/3 de parte, según la viscosidad de la arcilla.
- Granulosidad de los materiales.
- Tiempo de operación. Tiempo de molienda. La duración la molienda, como ejemplo, para esmaltes está entre 8 a 12 horas, según la situación, para pasta de 20 a 24 horas según sea el caso. El consumo de energía para la molienda está relacionado con la superficie. Para moler pintura (que debe ser más fina que el esmalte) a veces es necesario moler por días enteros; para el caso del esmalte no debe molerse demasiado fino porque se escurrirá irremediablemente en la quema. Al ir moliéndose los materiales, la superficie aumenta, al aumentar la superficie se requiere más energía, es decir, que para moler muy fino se necesita más energía. Al moler pasta o feldespato, la viscosidad va cambiando; al principio es muy viscoso, pero después va siendo más aguado, esto es porque una parte del sodio - potasio se va disolviendo, que en estado iónico funciona como defloculante; este fenómeno es el causante de que los esmaltes se sedimenten endureciéndose mucho, para evitarlo se agrega un aditivo. La densidad es importante para proteger la vida útil de las jarras porque entre más “aguada” sea la molienda mayor desgaste tiene el forro de la jarra.
Ecuaciones[]
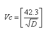
La velocidad crítica viene dada por
Siendo:
- Vc, es la velocidad crítica de rotación del molino.
- D es el diámetro en metros del molino [6].
- Al número del resultado se le calcula el 60% y ése es el Nº óptimo de giro de la olla por minuto (entre el 65% y el 80% de Vc).
Ej:
Si la olla tuviese 0.20 m. de diámetro interno, las revoluciones deben ser 42.3 dividido raíz cuadrada de 0.2 (0.447)= 94.63 x 60%= 56 vueltas por minuto.
Tener en cuenta que la carga de rodamientos corresponden en kilos al equivalente en volumen de la olla y la carga de material es del 40% del volumen de la olla.
En la siguiente dirección podemos descargar una hoja en excel de los cálculos del molino [7].
Enalaces externos[]
Bibliografías.[]
- "Manuale della macinazione con mulini a tamburo rotante HAND BOOK FOR BALL MILL GRINDING". El autor es Romano Ferrari. La editorial faenza editrice. Es bilingue Ingles Italiano [8]
- Tecnología de los materiales cerámicos Autor Juan Morales Güeto.
Referencias[]
- ↑ agentes suspensores para esmaltes cerámicos
- ↑ TABLAS DE MOLIENDA
- ↑ Tecnología del molino de bolas
- ↑ Ingeniería química. Escrito por J. M. Coulson,J. F. Richardson.
- ↑ Uso del molino de Bolas
- ↑ MOLIENDA
- ↑ Excel Molino de Bolas
- ↑ Molino de Bolas
Galería[]
How to make a ball mill (part 1)
Molino de bolas
